Homework solutions by David J. Miller, scanned by Changchun Wang

Week 6

10.2.2

10.3.3

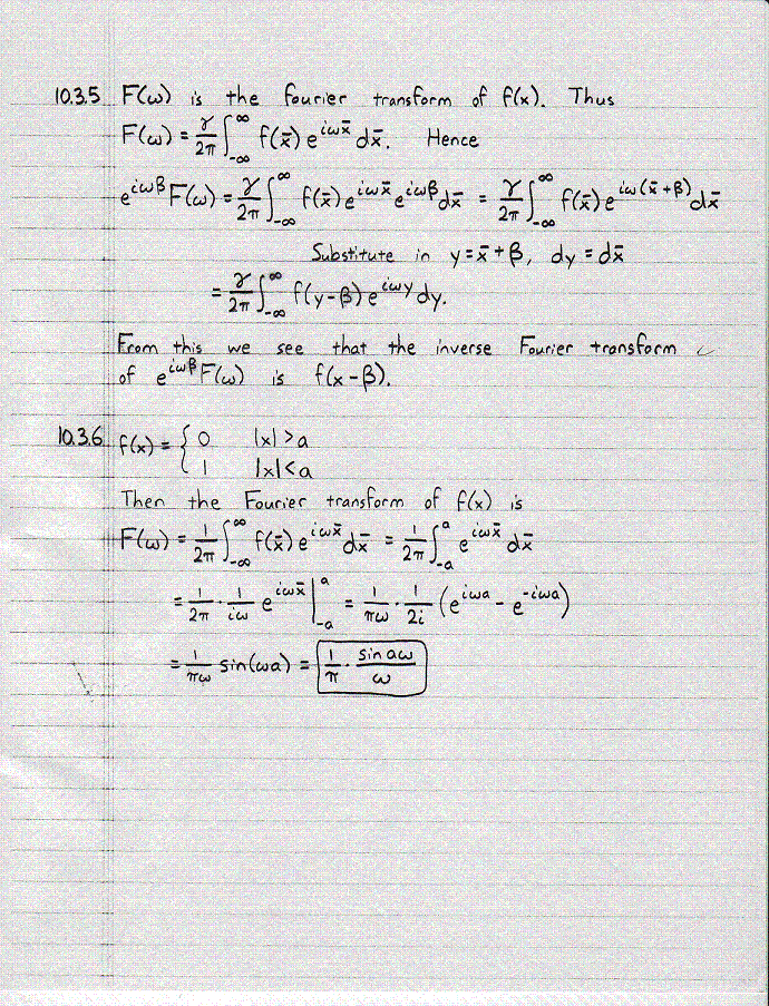
10.3.5

10.3.6

10.4.8

10.5.16 is identical to the u1 part of the problem solved in Haberman, Sec. 10.6.4.

10.6.13 page 1 ._. page 2