Homework solutions by David J. Miller, scanned by Changchun Wang

Week 7

10.3.13

9.3.5 and 9.3.6 page 1 ._. page 2

9.3.22 no solution available

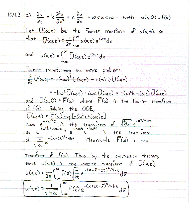
10.4.3 page 1 ._. page 2

10.6.10

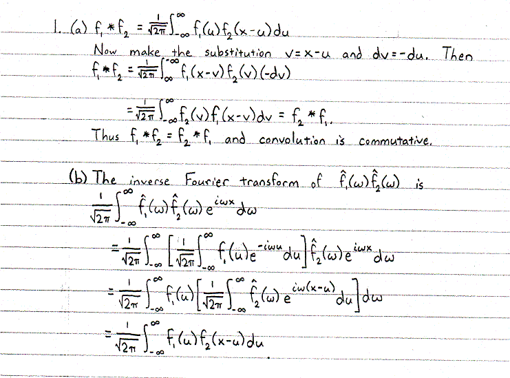
Extra